yL23411永利集团官网2025届考研光荣榜
日期:2025-05-19 来源:yL23411永利集团官网
浏览量:
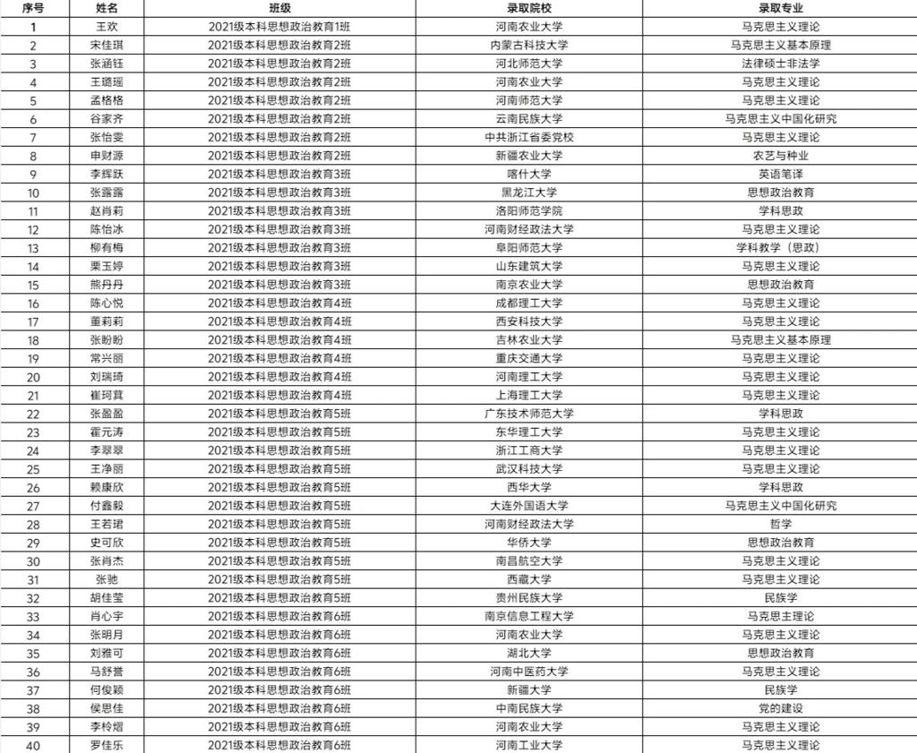
yL23411永利集团官网2025届本科毕业生人数278人,考取研究生人数40人,考研录取率为14%! 在此次顺利考研上岸的40名研究生中,考进“985”,“211”和双一流院校的共有5人,占考研录取总人数的13%。 其中,成都理工大学1人,南京信息工程大学1人,南京农业大学1人,西藏大学1人,新疆大学1人。 在逐梦的道路上,他们以笔为剑,以梦为马,熬过无数个日夜,凭借扎实的专业知识和坚韧不拔的毅力成功上岸。现在,就让我们一同走进这份荣耀,领略公司考研学子的璀璨荣光。优秀学子光荣榜如下:

优异成绩的取得,离不开员工自身的刻苦努力。备考期间,他们日夜苦读,在知识的海洋中不断探索,面对压力与挑战毫不退缩,始终坚定目标,勇往直前。
考研之路从不是一帆风顺,但每一位追梦人都用坚定的信念和顽强的毅力跨越重重困难,抵达理想的彼岸。希望正在备考或有考研意向的同学们,以这些学长学姐为榜样,坚定信念,勇往直前。相信在不久的将来,你们也能在考研战场上收获属于自己的荣耀,书写属于自己的辉煌篇章!
- 上一篇:
- 下一篇:河南省高校思政课“大听课 大调研”第九调研组莅临公司开展听课调研活动
豫公网安备 41082302410884号